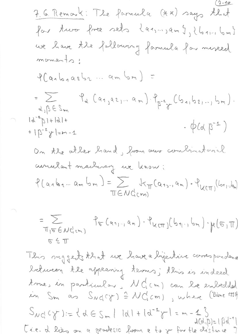
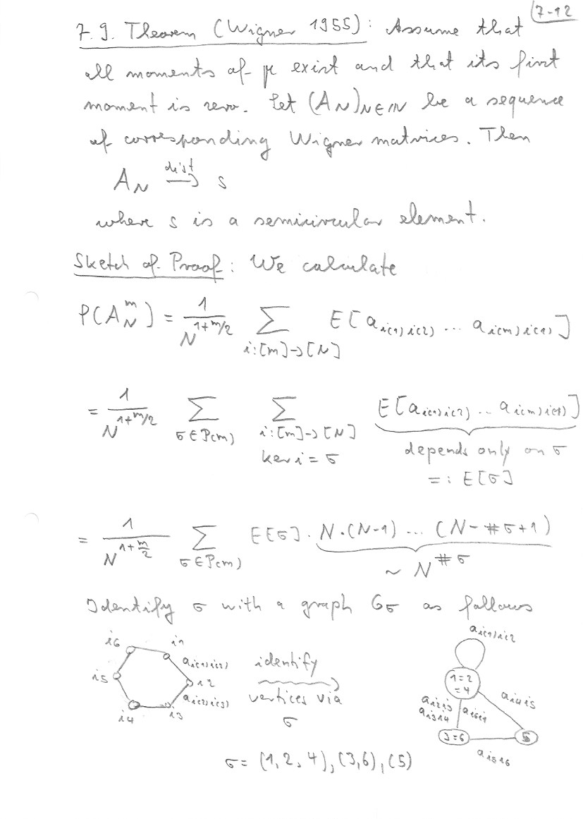
Free Probability Theory, winter term 2018/19
This section follows mainly Chapter 23 of my book with Nica. Details about the embedding of non-crossing partitions into permutations can be found there. At the end I also address the question of asymptotic freeness for Wigner matrices. Theorem 7.11 is from my book with Mingo, Section 4.4.















