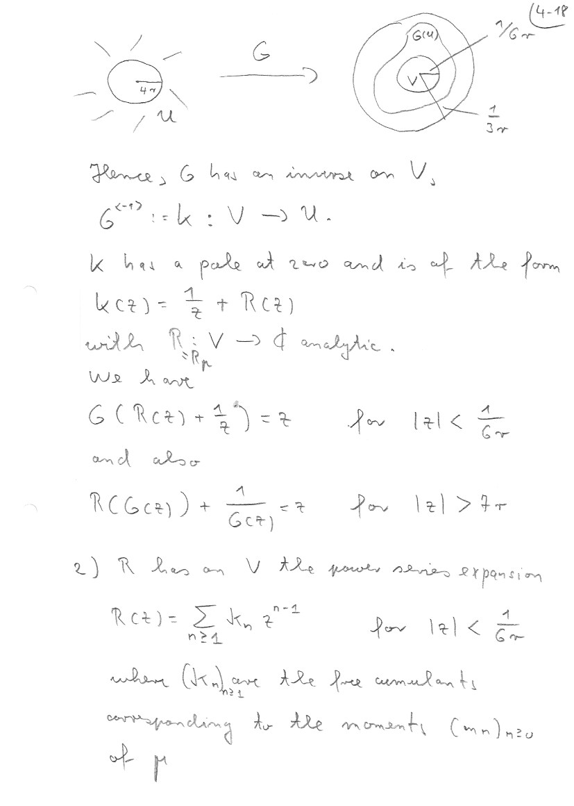
Free Probability Theory, winter term 2018/19
This section is mostly based on a mixture of Chapters 12 and 13 of my book with Nica and Chapter 3 of my book with Mingo. The last part on the free convolution semigroups is from Chapter 14 of the book with Nica.

































