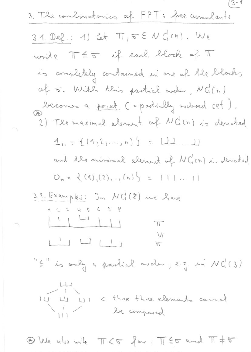
Free Probability Theory, winter term 2018/19
This section is based on Chapters 9, 10, 11 of my book with Nica.

































This section is based on Chapters 9, 10, 11 of my book with Nica.

































A blog on freeing probability from its commutative chains
A random mathematical blog
a personal view of the theory of computation
Updates on my research and expository papers, discussion of open problems, and other maths-related topics. By Terence Tao
Orr Shalit's blog